Soalan 3 Pengetahuan Dan Kemahiran Bahasa 1103 2 Jawapan

Pengetahuan dan kemahiran bahasa latihan pengukuhan tatabahasa 2018 a tulis satu ayat bagi setiap perkataan di bawah supaya jelas menunjukkan bahawa anda faham akan perbezaan maksud dan penggunaannya.
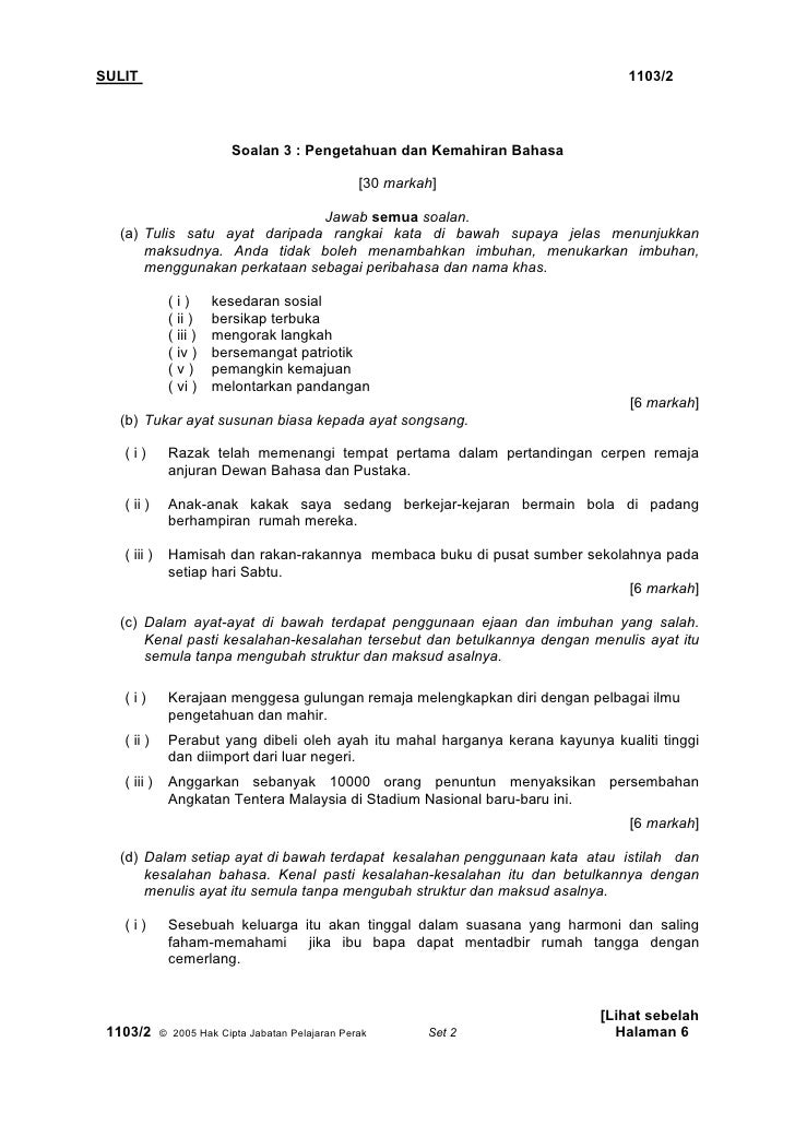
Soalan 3 pengetahuan dan kemahiran bahasa 1103 2 jawapan. Pengetahuan dan kemahiran bahasa juj 2010 set 3 a. Isi tempat kosong dengan jawapan yang paling sesuai. 3 jawapan bagi soalan 2 b soalan 2 c. Anda tidak boleh menambahkan imbuhan menukarkan imbuhan serta menggunakan perkataan itu sebagai peribahasa dan nama khas.
1103 2 2019 hak cipta mpsm sulit. 1103 2 5 soalan 3. I ii iii iv v vi swafoto. Contoh jawapan perceraian pasangan itu adalah atas dasar sama sama tidak suka.
Pengetahuan dan kemahiran bahasa 30 markah jawab semua soalan. C beg tangan puan jamilah dari luar negeri. Latihan peribahasa dan simpulan bahasa latihan 3. Pengetahuan dan kemahiran bahasa 30 markah jawab semua soalan a tulis satu ayat bagi setiap pasangan kata di bawah supaya jelas menunjukkan anda faham maksud dan penggunaannya.
A tulis satu ayat bagi setiap di bawah untuk menunjukkan bahawa anda perkataan faham akan maksud dan penggunaannya. Rombongan pengantin lelaki itu akan datang pada sebelah malam bersama sama dengan keluarga terdekatnya. Soalan objektif simpulan bahasa simpulan bahasa latihan berformat kbsr ini bertujuan untuk meningkatkan kemahiran para pelajar dalam menjawab soalan soalan peribahasa. Anda tidak boleh menambahkan imbuhan menukarkan imbuhan atau menggunakan perkataan.
Tulis satu ayat bagi setiap perkataan di bawah untuk menunjukkan bahawa anda faham akan maksud dan penggunaannya. Tulis dua ayat bagi tiap tiap perkataan di bawah supaya jelas menunjukkan bahawa anda faham akan perbezaan maksud dan penggunaannya. Koleksi kertas soalan peperiksaan sebenar sijil pelajaran malaysia spm dan skema jawapan buat pengetahuan semua pelajar tingkatan 5 bakal menduduki peperiksaan bertulis spm tahun 2019 dalam dua fasa iaitu mulai 14 hingga 17 oktober 2019 untuk fasa 1 dan fasa 2 dari 5 hingga 27 november 2019. Anda tidak boleh menambahkan imbuhan menukarkan imbuhan atau menggunakan perkataanitu sebagai peribahasa atau nama khas.
Pengetahuan dan kemahiran bahasa 30 markah jawab semua soalan. Anda tidak boleh menambahkan imbuhan atau menggunakan perkataan itu sebagai peribahasa atau nama khas. Jawapan fn fa. A tulis satu ayat bagi tiap tiap perkataan dalam pasangan perkataan di bawah untuk menunjukkan bahawa anda faham akan perbezaan maksud dan penggunaannya.
Anda tidak boleh menambahkan imbuhan atau menggunakan perkataan itu sebagai peribahasa atau nama khas. Pengetahuan dan kemahiran bahasa 30 markah jawab semua soalan.