Prosedur Surat Amaran Ponteng Sekolah





Hal Ehwal Murid Tatacara Menangani Ponteng Sekolah

Hal Ehwal Murid Tatacara Menangani Ponteng Sekolah

Prosedur Pengeluaran Surat Ponteng Sekolah

Prosedur Pengeluaran Surat Ponteng Sekolah

Contoh Surat Amaran Ponteng

Contoh Surat Amaran Ponteng

Harap Maklum Sop Surat Amaran Ponteng Pibg Sk Taman Seri Rampai Facebook

Harap Maklum Sop Surat Amaran Ponteng Pibg Sk Taman Seri Rampai Facebook

Contoh Surat Amaran Ponteng

Contoh Surat Amaran Ponteng

Hal Ehwal Murid Tatacara Menangani Ponteng Sekolah

Hal Ehwal Murid Tatacara Menangani Ponteng Sekolah

Hal Ehwal Murid Tatacara Menangani Ponteng Sekolah

Prosedur pengeluaran surat ponteng sekolah ketidakhadiran kementerian pelajaran malaysia penghantaran surat surat amaran pelajar pont.

Prosedur surat amaran ponteng sekolah. Statistik menunjukkan lebih ramai pelajar sekolah menengah yang ponteng sekolah berbanding dengan pelajar sekolah rendah. Sila hantar surat tersebut juga untuk pelajar yang telah ditandai p sebanyak 40 hari bukan secara berturut turut. Surat amaran ponteng adalah tugas guru kelas. Untuk kes tertentu seperti ponteng sekolah ini pihak saya akan memberi surat amaran dahulu sebanyak 3 kali kami juga akan membuat lawatan ke rumah pelajar yang terlibat ponteng ini pk1 t1 b33 34 saya juga membuat lawatan ke rumah pelajar sekolah yang ponteng bersama gpk hem dan polis angkat sekolah ini pk2 t1 b52 53.

Ponteng sekolah merupakan satu perbuatan yang menyalahi peraturan sekolah. Hopefully you are all enjoy and lastly can find the best picture from our collection that placed here and also use for appropriate needs for personal use. Sila hantar surat tersebut juga untuk pelajar yang telah ditandai p sebanyak 40 hari bukan secara berturut turut. Amaran ponteng pertama diberikan kepada murid yang tidak hadir tanpa sebab selama 3 hari berturut turut atau 10 hari berkala.

Selepas tempoh 14 hari ponteng sekolah daripada tarikh penghantaran surat amaran terakhir bagi hari tidak hadir. Jika ia tidak dilakukan pihak atasan akan mempersoalkannya. Contoh surat amaran dibawah sesuai digunakan bagi menegur pekerja dengan c. Kerja ini nampak remeh tetapi jika terlalu banyak kerja remeh yang perlu dilakukan ianya akan membebankan guru.

Surat rasmi memohon cuti sekolah ini penting untuk memastikan rekod berhenti sekolah kelak pelajar yang baik dan tiada mempunyai rekod kesalahan. Pekerja yang berwibawa sedar tanggungjawab untuk melakukan yang terbaik bagi memastikan tugasnya terlaksana tanpa melanggar peraturan syarikat. 9 9 pengaruh rakan sebaya atau rakan tua 10 0 strategi pelaksanaan 10 1 membentuk jawatankuasa khas untuk operasi datang lewat ke sekolah rujuk lampiran awas 5 3. Surat amaran terakhir hendaklah dihantar sekiranya tiada apa apa komunikasi 7 hari selepas surat amaran kedua.

Murid tidak hadir ke sekolah. 8 ponteng sekolah surat surat amaran these are so many great picture list that may become your enthusiasm and informational purpose of contoh surat amaran tidak hadir sekolah design ideas on your own collections. Murid yang pernah menerima surat amaran ponteng sekolah intervensi kelompok bersama kaunselor soal selidik masalah ketidakhadiran murid sesi bersama inspektor polis perhubungan sekolah pelaksanaan program 2 kali setahun. Selepas tempoh 14 hari ponteng sekolah daripada tarikh penghantaran surat amaran terakhir bagi hari tidak hadir.

Runsing pekerja suka melakukan kesalahan tanpa perlu patuh prosedur syarikat.

Ponteng Sekolah Surat Amaran

Ponteng Sekolah Surat Amaran

Contoh Surat Amaran Ponteng

Contoh Surat Amaran Ponteng

Surat Amaran Ponteng Sekolah Rendah

Surat Amaran Ponteng Sekolah Rendah

Pengurusan Kelas Laman Web Rasmi Semsira

Pengurusan Kelas Laman Web Rasmi Semsira

Doc Surat Amaran Ponteng Sekolah Muhammad Elyas Sulaiman Academia Edu

Doc Surat Amaran Ponteng Sekolah Muhammad Elyas Sulaiman Academia Edu

8 Ponteng Sekolah Surat Surat Amaran

8 Ponteng Sekolah Surat Surat Amaran

Proses Dan Cetak Surat Amaran Ponteng Pertama Sekolahmalaysia Com

Proses Dan Cetak Surat Amaran Ponteng Pertama Sekolahmalaysia Com

Surat Amaran Ponteng Kerja

Surat Amaran Ponteng Kerja

Surat Amaran Ponteng Sekolah Rendah

Surat Amaran Ponteng Sekolah Rendah

Sikfbssdfw7y M

Sikfbssdfw7y M

Surat Amaran Ponteng Sekolah Rendah

Surat Amaran Ponteng Sekolah Rendah

Contoh Surat Amaran Untuk Pekerja Cute766

Contoh Surat Amaran Untuk Pekerja Cute766

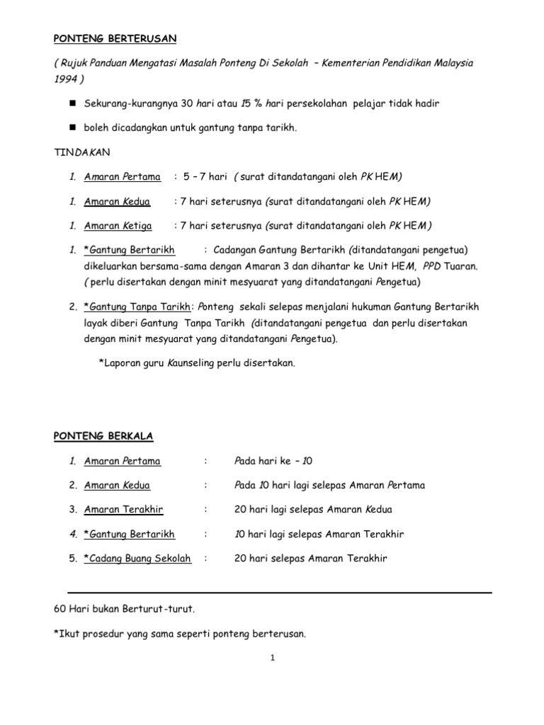
Bilangan Hari Surat Amaran Ponteng Sekolah

Bilangan Hari Surat Amaran Ponteng Sekolah

Tatacara Ponteng Sekolah

Tatacara Ponteng Sekolah

Source : pinterest.com